|
查看: 2265|回复: 22
|
外汇的转折时间 (REVERSAL TIME)可被预测吗?
[复制链接]
|
|
|
如题, 我好想听听CARI 网友的意见, 究竟外汇的转折时间 (REVERSAL TIME)可被预测吗? 有些说可以, 有些则说不可能....你认为呢? |
|
|
|
|
|
|
|
|
|
|
发表于 19-4-2011 02:45 PM
|
显示全部楼层
可被预测但準確性多高就不懂
不然很多人都horseh了  |
|
|
|
|
|
|
|
|
|
|

楼主 |
发表于 19-4-2011 02:59 PM
|
显示全部楼层
|
|
|
|
|
|
|
|
|
|
发表于 19-4-2011 03:02 PM
|
显示全部楼层
我赞成
我是一个刚开始LIVE TRADING 才没多久的菜鸟, 自学了有两年吧。
我个人的观点和经 ...
Learntobeempty 发表于 19-4-2011 02:59 PM 
所以set stop loss很重要啊. 常死在那邊  |
|
|
|
|
|
|
|
|
|
|
发表于 19-4-2011 03:07 PM
|
显示全部楼层
所以set stop loss很重要啊. 常死在那邊
雷克斯R 发表于 19-4-2011 03:02 PM 
我也是常死再SL,但好过没放SL而死到完。 |
|
|
|
|
|
|
|
|
|
|

楼主 |
发表于 19-4-2011 03:17 PM
|
显示全部楼层
如何设止损点可令交易者非常懊恼, 我通常是在M5 / M15 确认好交易机会后, 再用M1 等待ENTRY 点 和设止损。 尽可能将止损 设在 FEW PIPS TO 15 PIPS 之间。。。。不让血虚的情况出现 |
|
|
|
|
|
|
|
|
|
|
发表于 19-4-2011 05:10 PM
|
显示全部楼层
|
|
|
|
|
|
|
|
|
|

楼主 |
发表于 19-4-2011 08:51 PM
|
显示全部楼层
本帖最后由 Learntobeempty 于 19-4-2011 09:24 PM 编辑
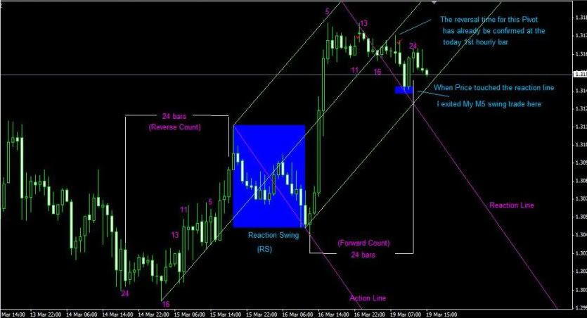
什么是转折时间 (REVERSAL TIME)?
pcadvance 发表于 19-4-2011 05:10 PM 
转折时间 就是我直接从REVERSAL TIME 翻译过来的。 你可以REFER 我 在POST 3 里的图, 箭头所示就是我所预测的转折时间。
6:50
7:05
7:50
8:15
8:35
8:40
9:05
9:15
当价格来到我所划分的转折时间线, 很大可能会转向, 下跌的价格会转上, 上升的价格会转下。。。 |
|
|
|
|
|
|
|
|
|
|
发表于 19-4-2011 09:27 PM
|
显示全部楼层
转折时间 就是我直接从REVERSAL TIME 翻译过来的。 你可以REFER 我 在POST 3 里的图, 箭头所示就是我 ...
Learntobeempty 发表于 19-4-2011 08:51 PM 
是不是自己预测出来的? |
|
|
|
|
|
|
|
|
|
|

楼主 |
发表于 19-4-2011 09:38 PM
|
显示全部楼层
是不是自己预测出来的?
pcadvance 发表于 19-4-2011 09:27 PM 
是呀, 还在学习掌握当中. |
|
|
|
|
|
|
|
|
|
|
发表于 20-4-2011 09:40 AM
|
显示全部楼层
转折时间 就是我直接从REVERSAL TIME 翻译过来的。 你可以REFER 我 在POST 3 里的图, 箭头所示就是我 ...
Learntobeempty 发表于 19-4-2011 08:51 PM 
如果你看的是M5,你所講的就成立,為何不在tokyo, london, new york open來看reversal? |
|
|
|
|
|
|
|
|
|
|

楼主 |
发表于 20-4-2011 10:36 AM
|
显示全部楼层
|
|
|
|
|
|
|
|
|
|
发表于 20-4-2011 11:44 AM
|
显示全部楼层
其实以上的那张图是我在昨天下午 两点多SAVE 起来的。
REVERSAL TIME LINE 预测法 其实可应用在任何 ...
Learntobeempty 发表于 20-4-2011 10:36 AM 
功成後。記得上來share |
|
|
|
|
|
|
|
|
|
|

楼主 |
发表于 20-4-2011 11:58 AM
|
显示全部楼层
功成後。記得上來share
mancai 发表于 20-4-2011 11:44 AM 
谢谢, HAPPY TRADING!! |
|
|
|
|
|
|
|
|
|
|
发表于 19-3-2012 12:35 AM
|
显示全部楼层
|
如果说期货的话,依你所说的转折点是这样的情况的话。就是我个人在期货的交易方法,在黑B哪里的人都知道我的交易方法是以心理学的角度来交易的。所以我会留意volumn在一天里最高的那段时间交易,和volumn能够达到多少去分析还可不可以进场。都是以SnR和心理价为基础去分析,再以外围的指数去分析当天的顶点和底点。。。。 |
|
|
|
|
|
|
|
|
|
|
发表于 19-3-2012 08:01 AM
|
显示全部楼层
|
以前用centre of gravity时,曾经迷过好一阵子。 |
|
|
|
|
|
|
|
|
|
|
发表于 19-3-2012 08:45 AM
|
显示全部楼层
转折时间 就是我直接从REVERSAL TIME 翻译过来的。 你可以REFER 我 在POST 3 里的图, 箭头所示就是我 ...
Learntobeempty 发表于 19-4-2011 08:51 PM 
如果要准确预测时间,我相信这是比较困难的,更糟的是你会失望多过期待,可能会变成偏执或神经质。。。
我仍然相信预测日期会比较容易。 |
|
|
|
|
|
|
|
|
|
|

楼主 |
发表于 19-3-2012 09:49 PM
|
显示全部楼层
|
|
|
|
|
|
|
|
|
|
发表于 20-3-2012 01:47 AM
|
显示全部楼层
LZ, 那个应该是人家所称的fork吧? 请问楼主有没有ebook 借分享关于 JohnCraneTradingMethod? 目前我正研究着用Ichimoku来交易。希望能够定出自己的交易计划。.gif) |
|
|
|
|
|
|
|
|
|
|
发表于 20-3-2012 02:23 AM
|
显示全部楼层
厉害~今晚凌晨来到这里遇到高手了。。。。又学到点东西了
小弟也是初学者。。。希望可以来吸收下各位老前辈的经验 |
|
|
|
|
|
|
|
|
| |
本周最热论坛帖子
|