佳礼资讯网

 找回密码
 注册

ADVERTISEMENT

搜索
查看: 816|回复: 0

哪位数学高手可以帮帮忙。。。

[复制链接]
发表于 23-2-2010 11:05 PM | 显示全部楼层 |阅读模式




2. Determinethe Laplace transform of the function in Figure










3.
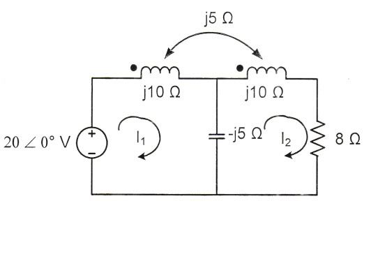
Determine the phasor current I1and I2 in the circuit of Figure


1.
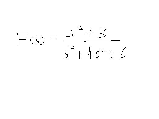
Determine the time function f(t) for the following transferfunction.

      






回复

使用道具 举报

您需要登录后才可以回帖 登录 | 注册

本版积分规则

 

所属分类: 欢乐校园


ADVERTISEMENT


本周最热论坛帖子本周最热论坛帖子

ADVERTISEMENT



ADVERTISEMENT

ADVERTISEMENT


版权所有 © 1996-2026 Cari Internet Sdn Bhd (483575-W)|IPSERVERONE 提供云主机|广告刊登|关于我们|私隐权|免控|投诉|联络|脸书|佳礼资讯网

GMT+8, 12-4-2026 01:35 PM , Processed in 0.086430 second(s), 23 queries , Gzip On.

Powered by Discuz! X3.4

Copyright © 2001-2021, Tencent Cloud.

快速回复 返回顶部 返回列表